安装篇
同时解决安装激光刻印机时的注意事项和安全相关的简单问题。将使用前的注意事项均囊括至“安装篇”。
安装篇 vol.1
Q25 操作激光时应采取什么安全措施?
制造商与最终用户都应采取预防措施,确保以安全的方式使用激光。
以下是用户安全措施的一些典型示例。
- 1远程互锁
- 安装互锁机制,以便在紧急情况下关闭激光。
- 2终止光束路径
- 使用具有合适反射率与热特性的漫反射镜或吸收器来终止激光路径。
(例如,安装保护盖)。
- 3护眼装置
- 为防止意外激光发射接触眼睛而造成的伤害,在有激光产品的控制区域佩戴护眼镜应作为一项日常预防措施。维护期间应始终佩戴护眼镜。
- 4激光安全管理人员
- 为确保安全管理,应指定一名具备操作激光产品及防止激光伤害的知识与经验的管理人员。
Q26 激光刻印机需要什么类型的保护盖?
激光刻印机需要的保护盖应由激光无法穿透的材料制成–即该材料必须将激光束衰减为 1 类光束。使用这种材料是激光刻印机保护盖的基本要求。CO2 激光(30 瓦特类激光)的保护盖通常由丙烯酸或聚碳酸酯制成,而 YAG 和 YVO4 激光的保护盖则由金属薄片制成。由于金属薄片完全包围着激光,导致操作员无法看到罩壳内部,因而一些金属薄片保护盖具有覆盖着特殊保护膜的查看窗口。

一种典型的 CO2 激光刻印机保护盖概括介绍如下。
CO2 激光对丙烯酸板的穿透力
激光设备保护盖使用材料的选择标准
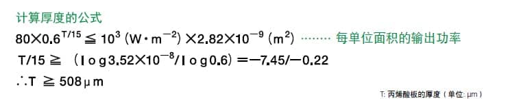
经目标工件漫射与反射后,激光的透射光束功率低于 1 类 AEL*,则用来制作保护盖的材料被认为是真正安全的。CO2 激光(10.6 μm 波长)的 1 类 AEL 是 103 W m–2。
*AEL(可接近的发射限值):辐射曝露量的最大允许级别或照射的发射限值。
对于 1 类 AEL,丙烯酸板的理论厚度(典型示例)
| 激光介质 | CO2 |
|---|---|
| 波长 | 10.6μm |
| 最大输出功率 | 80W |
| 光点直径 | 约 ø60 μm(ML-Z 系列) |
| 光点面积 | 2.82 × 10–9 m2(使用 ML-Z 系列 ø60 μm 的光点直径计算得到) |
| CO2 激光对于丙烯酸板的透射率 | 60%(对于 15 μm 厚的板) |

理论上,厚度为 508 μm 的丙烯酸板可将 CO2 激光衰减为 1 类水平,但建议厚度至少为 5 mm,以确保足够的耐用性和材料工作效能。
Q27 保护盖关闭时,操作员与激光刻印机的距离必须为多远才被认为是安全距离?
要回答这个问题,首先需要解释术语 MPE 与 NOHD。
- MPE 与 NOHD
- MPE(最大容许照射量)是与眼睛或皮肤接触时所允许的激光束的安全级别。NOHD(标识危害距离)是指激光束经漫射实现低于 MPE(该水平视为安全)的强度水平所需的距离。
因此,这个问题实际是问:安全盖关闭时,激光刻印机的 NOHD 是多少?KEYENCE 产品的 NOHD 值在下一页给出。
备注: NOHD 只应该用作安全管理指示。JIS 标准指明“在所有情况下,对激光辐射的接触量都必须降低至最小”。NOHD 值并“不”意味着只要操作员在 NOHD 距离之外,便可以在没有安全盖的情况下操作激光刻印机。
NOHD(标识危害距离)值
| ML-Z 系列 | ||
|---|---|---|
| 标准型 | 宽域型 | 细线型 |
| ML-Z9610 | ML-Z9620 | ML-Z9650 |
| 约4.9m | 约6.8m | 约2.0m |
| MD-X 系列 | ||
|---|---|---|
| 标准型 | 宽域型 | 细线型 |
| MD-X1000 | MD-X1020 | MD-X1050 |
| 约40.4m | 约63.9m | 约18.8m |
Q28 是否应该在丙烯酸板的内外表面应用光束屏蔽膜?

如上面的例子所示,将防护膜贴在面 1 或面 2,哪种方式更佳?
防护膜的目的是防止激光发射时从保护盖中漏出。在各种情况下,都建议将防护膜贴在面 2(内表面),因为贴在面 1(外表面)可能会导致激光发射进入丙烯酸板时发生散射。
Q29 测量激光功率的准确的方法是什么?
功率表可用于准确测量激光刻印机的输出功率(可从电子供应商处获得)。要测定当前的功率输出值,将激光束照射到功率表的头部(确保所有设备都没有运转)。KEYENCE 的 MD-X 系列 YVO4 激光刻印机标配有内置功率监视器,可供用户轻松、精确地测量激光输出功率,而无需购买外部设备。
KEYENCE 不销售功率表。
测量激光功率的常用方法

测量 MD-X(带有内置功率监视器)的激光功率

Q30 激光刻印机需要什么维护?
激光刻印机无需维护,这是该产品的主要优点之一。如果镜头表面变脏,则应进行清洁,因为脏的镜头会降低打印质量或造成打印图像中部分缺失。
免维护

Q31 清洁镜头的有效方法是什么?

使用在丙酮或无水乙醇中浸泡过的抹布轻轻擦拭镜头。从镜头中心向外沿环形擦拭是很有效的方法。切勿使用干布擦拭镜头,这可能会刮伤镜头或磨掉保护涂层。
安装篇 vol.2
Q32 一般的安装需要哪些物品?
以下显示了一个典型安装的示例。
安装建议
请务必安装一个集尘器,滤出刻印时产生的灰尘和烟雾。
为确保有效地集尘以及避免激光反射,请用激光不能穿透的材料覆盖激光的通道。此外,要封闭激光通道,使得激光束不会照射到没有目标存在的地方。

Q33 需要集尘器吗?
是的,因为激光刻印会产生烟雾和灰尘,所以需要集尘器。安装集尘器同时还能帮助避免镜头上堆积污物,那样会导致刻印变淡或部分缺失。此外,刻印塑料目标时还可能会产生气体,集尘器还应该能过滤有潜在危害的气体污染物。为防止发生问题,云顶国际·[中国]唯一官方网站推荐每个用户都能安装集尘器。请参考上一页的 Q32 了解典型安装的示例。
Q34 有哪些警告标志和标签可用?
激光警告标签可以从 Rockwell 激光工业公司处购买。
标志和标签可能根据设备大小而有所不同。

把以下警告标志贴在安装有激光产品的房间入口处,在人员进入房间之前提出警告。
装运前在激光刻印机的机头贴上警告标签。
以下是用于 ML-Z 系列 CO2 激光刻印机的一个警告标签示例。

Q35 刻印能通过外部装置控制吗?
是的,激光刻印机能通过从 PC 或 PLC 发送连续的通信指令进行控制。
编辑软件上的每一个可用的操作,包括“更改字符串”或“切换程序”指令,都能使用。
这样就可以:
- 利用来自检测机器的测量数据进行 2 维码的刻印。
- 通过指定坐标在排列在货架上的产品上进行部件识别刻印。
- 通过读取条码来更换产品类型。
示例: 条码验证
用户能通过读取带有正确寄存数据的条码,更改在产品上刻印的数据。这样确保了生产线的平稳过渡,避免了刻印错误的发生。

Q36 哪种通信接口可以使用?
用户能通过 RS-232C 或 RS-422A 建立通信,在刻印机和外部装置之间发送或接收信息。与刻印机进行通信时推荐使用屏蔽线。这样能防止干扰影响数据的传输。
Q37 通信控制为什么会失败?
这是较为常见的问题之一。
首先,您要判断问题是否是由仪器的设定或通信程序造成的。
KEYENCE 的激光刻印机针对此问题有一个非常有用的功能,叫做“通信历史监控器”。
此功能让用户能以文本文件格式记录交换的通信指令。因此该文件可以以电子邮件的形式发送给 KEYENCE 以便快速找出原因。
通信历史监控器(示例画面)

此功能可以通过 RS-232C 接口显示与外部装置(PC或PLC)交换的通信历史。
- 在解决通信异常的问题时使用。
- 比较在监控器上发送和接收的实际数据,并检验数据的传输。
Q38 只用 I/O 端子台控制激光工作可能吗?
是的,控制器的后面板配备了一个端子台和一个MIL接口,让用户能把传感器,PLC 或控制装置与激光刻印机连线。通过预先寄存的刻印设定,用户能利用 I/O 端子切换刻印类型。只用 I/O 端子就能实现多种控制。松开上下端的锁扣就能拆卸端子台。

Q39 凭借 I/O 端子台可以使用哪些类型的输入信号?
典型信号如下。
* 还有许多信号可用。请联系 KEYENCE 了解更多信息。
刻印开始输入
开始刻印。
刻印开始输入可以用传感器或其它装置开启。
(最小脉冲宽度:1 ms 以上)
紧急停止输入
紧急情况下停止激光的发射。
此端子打开时,所有的刻印工作都会停止(激光电源关闭),同时内部遮光器关闭。
刻印确认输入
检查刻印的执行是否正确。
外部传感器会检测激光的发射,并发送一个输入信号到刻印机。如果刻印中刻印机没有接收到来自传感器的输入信号,就会输出一个错误信号。
刻印完成输出
当刻印工作成功完成时,会打开一个脉冲输出(最大 100 ms)。如果在输出期间再次有触发脉冲输入,输出会立即停止。
计数器开启输入
一步累加所选计数器的数值。
设定数值确认输入
更改设定或程序,以此补偿刻印中所作的调整,通常由产品更换或对正在刻印的数据进行更新所造成。所作的更改能用于调节多达 2000 个部件的差异。
安装篇 vol.3
Q40 怎样连接外部设备?
典型安装示例如下所示。
系统配置

连接外部设备

Q41 怎样连接计时传感器?
传感器连接的示例如下所示。
输入和输出同时支持 NPN 和 PNP,并且能够同时使用。

* 可以联系 KEYENCE 以便了解,合适您的传感器
Q42 激光刻印会受到设备振动的影响吗?

激光刻印机使用精确的光学控制。由于这个原因,如果在刻印时发生振动:
- 刻印坐标可能会偏移
- 文字可能会扭曲
还可能出现其他问题。如果环境振动影响到激光刻印机,请使用抗振动支架或者采取其他预防措施消除振动。
Q43 激光刻印如果上下倒置会有问题吗?
没有问题。KEYENCE 的激光刻印机机头可以全方面设置。
* 采取预防措施防止灰尘和碎屑累积在镜头上。

Q44 激光刻印机能使用 200 V 电源吗?

当然可以。KEYENCE 激光刻印机支持 100-120 V 或200-240 V 的交流电源。
* 请使用符合电源规格的缆线。
Q45 防护罩打开时怎样防止激光发射?
使用远程互锁。
光闸控制端子是用来在防护罩打开时关闭光闸和停止激光扫描的。更多细节参见下方。
远程互锁(控制器单元具有光闸控制输入端子)
远程互锁是防止激光辐射散发的功能。当接口针脚松开时,激光就会关闭。光闸控制输入由两条电路控制:端子 A 和端子 B。如果其中一个松开,光闸会关闭,激光扫描也会停止。如果两个终端同时短路,光闸会打开,而传感器开关会进入待机模式。
* 运输时,端子会利用连杆同时短路。

* ML-Z 和 MD-F 和 MD-X系列是通过单一电路进行控制:激光控制输入端子(端子号 10)。
警告:激光控制互锁在防护罩的门需要频繁打开时不宜使用。请联系 KEYENCE 采取其他措施。
Q46 如果想把激光转移到另一处工厂。
打包时应该注意哪些问题?
激光刻印机是高精度装置。运送激光刻印机时应采用 KEYENCE 指定的专用包装箱。

Q47 空气过滤器变脏时要更换吗?
是的。当空气过滤器变脏时,需要清洁或更换。如果忽略过滤器的状况,导致冷却性能会下降,可能会降低激光输出或导致损坏。

请使用温和的清洁剂清洁空气过滤器并让其自然风干。
* 更换的过滤器有售。请咨询您就近的 KEYENCE 办事处了解详情。
维护部件
激光刻印机的维护工作必须由具有专门电工知识的技师进行。

*1 请使用符合以下标准,同时也是符合 CE 标志型号 EN 标准的保险丝(ML-Z系列)。
额定:250 V,10 A,符合欧洲标准 EN60127-2





