Sdr(界面扩展面积比)
定义区域的扩展面积(表面积)表示相对于定义区域的面积增大了多少。
完全平坦表面的Sdr为0。

若表面存在倾斜,Sdr将变大。
下方表面为由45°倾斜成分构成的平面,Sdr变为0.414。(表面积增大了40%多。)


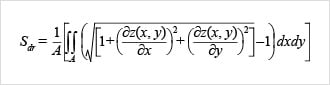
定义区域的扩展面积(表面积)表示相对于定义区域的面积增大了多少。
完全平坦表面的Sdr为0。

若表面存在倾斜,Sdr将变大。
下方表面为由45°倾斜成分构成的平面,Sdr变为0.414。(表面积增大了40%多。)

